Thumbnail 1

Share Site

Thumbnail 1

Bode Plot Application

Thumbnail 1

Power Supply Impedance Analysis

Thumbnail 1

Skin Effect in Magnet Wire

Thumbnail 1

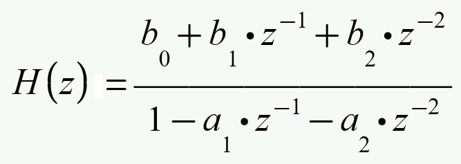
DSP Coefficient Calculator

Thumbnail 1

Pole & Zero Calculator

Thumbnail 1

VPX Power Supply Guide